
Hoạt chất được chiết xuất từ những loại thực vật hay cây cỏ tự nhiên xung quanh chúng ta có thể mang tới nhiều giá trị dinh dưỡng hoặc điều trị bệnh cho con người. Tuy nhiên, đôi khi chúng ta chưa thể hiểu hết về những hoạt chất này, trong đó có Andrographolide – một tiềm năng mới trong y học cổ truyền. Nếu bạn đang quan tâm đến loại chất này thì đừng bỏ qua bài viết này nhé, hãy cùng chúng tôi khám phá về nguồn gốc và các tác dụng sinh học nổi bật của Andrographolide.
Andrographolide là hợp chất được chiết xuất từ cây xuyên tâm liên, tên khoa học là Andrographis paniculata (A. paniculata). Đây là một loại thảo dược được sử dụng truyền thống trong nền y học Trung Hoa cũng như ở một số nước châu Á để điều trị một số vấn đề liên quan tới sức khỏe như:
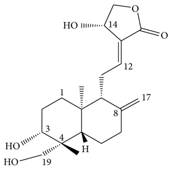
Andrographolide thuộc nhóm hợp chất diterpenoid lactone với nhóm chức α-alky-lidene c-butyrolactone, với 3 gốc hydroxyl ở vị trí C-3, C-14 and C-19, có cấu trúc hóa học như sau:

Cấu trúc hóa học của Andrographolide
Vậy hoạt chất này có tác dụng sinh học như thế nào đối với con người. Mời các bạn cùng tìm hiểu qua phần tiếp theo nhé.
Dưới đây là một số thông tin mà bạn không thể bỏ qua về những tác dụng dược lý của hoạt chất này. Hãy cùng khám khá bạn nhé.
Thiếu máu não là hiện tượng bệnh lý rất nguy hiểm, nếu không được can thiệp đúng cách và kịp thời có thể dẫn tới những hậu quả nghiêm trọng như: đột quỵ, suy giảm trí nhớ, rối loạn chức năng não, giảm lưu lượng máu tới não…
Mặc dù một số phương pháp trị liệu đã được đưa vào áp dụng, thế nhưng vẫn chưa có biện pháp cụ thể nào có thể điều trị dứt điểm được tình trạng này.
Một số nghiên cứu trong phòng thí nghiệm invitro, andrographolide đã được chứng minh cải thiện tình trạng tắc động mạch não giữa, tăng sự tái tưới máu do tăng thể tích mạch máu não. Điều này cho thấy, hoạt chất này có nhiều tác dụng tiềm năng đối với những bệnh nhân thiếu máu não.
Ngoài ra, andrographolide còn có tác dụng bảo vệ hệ thần kinh cho những bệnh nhân bị xuất huyết nội sọ. Với những bệnh nhân bị xuất huyết nội sọ thường xuất hiện những rối loạn thần kinh nghiêm trọng hoặc có thể dẫn đến tử vong.
Và thật may mắn là, andrographolide đã được chứng minh là giúp ngăn ngừa suy yếu thần kinh, giảm úng não và ức chế quá trình thoái hóa thần kinh ở những chuột bị xuất huyết não.
Hơn thế nữa, trong các nghiên cứu gần đây cho thấy andrographolide có tác dụng chữa bệnh Alzheimer – một bệnh liên quan đến thoái hóa hệ thần kinh [1].

Andrographolide giúp bảo vệ hệ thần kinh hiệu quả
Viêm là một trong những quá trình sinh lý tự nhiên của cơ thể giúp loại bỏ các kích thích gây bệnh và tăng khả năng phục hồi tổn thương.
Trong hầu hết các trường hợp thì tình trạng viêm mạn tính có thể làm gián đoạn chức năng trao đổi chất và gây ra gánh nặng cho tế bào.
Hiện nay, để giảm các tình trạng viêm thì các nhà khoa học đang hướng đến việc sử dụng các thảo dược có nguồn gốc từ tự nhiên như xuyên tâm liên. Thành phần có tác dụng chống viêm hiệu quả trong loại cây này đó chính là andrographolide, theo đánh giá của các chuyên gia thì hoạt chất này có tác dụng làm giảm viêm trong các bệnh lý như:
- Các bệnh liên quan tới phổi: Andrographolide và các dẫn chất của nó có tác dụng chống viêm trong các mô hình thí nghiệm của các bệnh viêm đường thở bao gồm: hen suyễn dị ứng, COPD (bệnh phổi tắc nghẽn mạn tính) và xơ phổi vô căn.
- Viêm gan và xơ gan: Các diterpenes như: andrographolide, andrographiside và neoandrographolide đã được nghiên cứu về tác dụng bảo vệ của chúng đối với tình trạng nhiễm độc và viêm gan ở chuột do các tác nhân carbon tetrachloride (CCL4) hoặc tert-butylhydroperoxide (tBHP).
- Các bệnh tự miễn dịch: Theo các nhà nghiên cứu thì andrographolide và các dẫn chất của nó có tác dụng chống viêm hiệu quả đối với một số bệnh tự miễn (chẳng hạn như: lupus ban đỏ, viêm khớp dạng thấp, đái tháo đường tuýp 1, đa xơ cứng…) trong mô hình thí nghiệm.
- Tình trạng viêm da: Andrographolide đã được chứng minh là cải thiện bệnh vẩy nến do imiquimod gây ra ở chuột thông qua sự phân giải protein tự động của MyD88, làm giảm các cytokine gây viêm phụ thuộc MyD88 IL-23, IL-6 và IL-1b trên da.
Từ những nghiên cứu, các nhà khoa học rất kỳ vọng về tác dụng chống viêm của andrographolide và hoạt chất này được ví như một trong những tiềm năng kháng viêm trong tương lai [2].
Ung thư là một trong những nguyên nhân gây tử vong hàng đầu cho con người. Để đối phó với căn bệnh này thì các nhà nghiên cứu đã phát triển nhiều loại thuốc sử dụng trong điều trị, trong đó có nhiều loại thuốc có nguồn gốc từ thảo dược.
Mới đây, các nhà khoa học cũng phát hiện ra rằng andrographolide và các dẫn xuất có tác dụng chống lại sự tăng sinh của các dòng tế bào ung thư khác nhau như: tế bào ung thư bạch cầu, ung thư vú, phổi và nhiều loại khối u ác tính khác.
Cụ thể là, hoạt chất này có tác dụng kiểm soát tốt một số gen có liên quan đến chu kỳ chết rụng tự nhiên của tế bào (apoptosis), ức chế sự phát triển và di căn của các tế bào ung thư [3].

Andrographolide giúp ức chế sự phát triển của tế bào ung thư
Sốt xuất huyết là căn bệnh truyền nhiễm phổ biến nhất ở người, với khoảng 100 triệu ca nhiễm mỗi năm với khoảng hơn 2.5 tỷ người có nguy cơ bị nhiễm bệnh. Căn bệnh này do vi rút Dengue gây ra và có nhiều triệu chứng nguy hiểm như: sốt, xuất huyết…
Theo các chuyên gia, andrographolide có hoạt tính kháng vi rút dengue type 2 trên hai dòng tế bào HepG2 và Hela. Bên cạnh đó hoạt chất này có tác dụng chống lại vi rút dengue type 4 trên dòng tế bào HepG2.
Mong rằng qua những thông tin mà bài viết đã chia sẻ đã giúp bạn có thêm nhiều kiến thức bổ ích về hoạt chất Andrographolide. Chúc bạn và gia đình luôn mạnh khỏe và gặp nhiều may mắn trong cuộc sống.
Viết bình luận