
TÁC ĐỘNG CỦA TINH BỘT KHÁNG ĐẾN HỆ VI SINH ĐƯỜNG RUỘT
Gần đây tinh bột kháng (RS) đã nhận được rất nhiều sự quan tâm vì tiềm năng tác động lành mạnh đến sức khỏe con người đặc biệt là hệ vi sinh đường ruột. Hôm này, hãy cùng Riff tìm hiểu kỹ hơn về mối liên hệ này nhé!
Hệ vinh sinh vật đường ruột: Trong đường tiêu hóa chúng ta có khoảng 100 nghìn tỷ tế bào vi khuẩn, đây là một hệ sinh thái tương tác hài hòa với đường tiêu hóa, cung cấp các sản phẩm cuối cùng của quá trình trao đổi làm ảnh hưởng đến tính toàn vẹn của ruột, chức năng miễn dịch, chuyển hóa mật và lipid, nhiều chức năng của các cơ quan và khả năng mắc các bệnh nhiễm trùng đường tiêu hóa. Chính vì thế, mà hơn một thập kỷ gần đây các sản phẩm bổ sung men vi sinh (hay còn gọi là probiotic) trở nên phổ biến và bán chạy hàng đầu cho trẻ em cũng như người lớn.
Vậy tinh bột kháng tác động đến hệ VSV đường ruột như thế nào?
Cơ chế tác động: Sau khi ăn, tinh bột kháng không bị tiêu hóa ở ruột non mà di chuyển nguyên vẹn đến ruột già, nơi đây nó được lên men kỵ khí bởi hệ vi sinh vật đường ruột thường trú. Quá trình lên men này dẫn đến việc sản xuất các axit béo chuỗi ngắn (SCFA) như butyrate, acetate và propionate, Trong số các SCFA, butyrat đặc biệt đáng chú ý vì vai trò quan trọng của nó đối với sức khỏe đại tràng: là nguồn năng lượng chính cho tế bào ruột kết, thể hiện đặc tính chống viêm, củng cố hàng rào bảo vệ đại tràng và có khả năng làm giảm nguy cơ ung thư đại tràng. Ngoài ra, việc điều chỉnh độ pH ruột bằng SCFA là một lợi thế khác, tạo điều kiện cho sự phát triển của vi khuẩn có lợi đồng thời ức chế sự phát triển của các chủng gây bệnh [1].

Một khía cạnh thú vị khác của quá trình lên men RS là tính chọn lọc của nó. Không phải tất cả vi khuẩn đường ruột đều có khả năng lên men RS hiệu quả; các nhóm vi khuẩn cụ thể, đặc biệt là các nhóm thuộc ngành Bacteroidetes và Firmicutes, đã được xác định là những tác nhân lên men RS chính. Quá trình lên men chọn lọc này có thể dẫn đến sự thay đổi trong thành phần vi khuẩn đường ruột. Việc bổ sung RS thường xuyên có thể thúc đẩy sự phát triển của các vi khuẩn lên men RS này, làm giàu đường ruột với các vi khuẩn có lợi, từ đó tăng cường hiệu quả lên men và sản xuất SCFA. Do đó, sự tương tác năng động giữa RS và hệ vi sinh vật đường ruột hứa hẹn những can thiệp có mục tiêu, có khả năng điều chỉnh thành phần và hoạt động của vi khuẩn đường ruột thông qua các chiến lược dinh dưỡng [1].
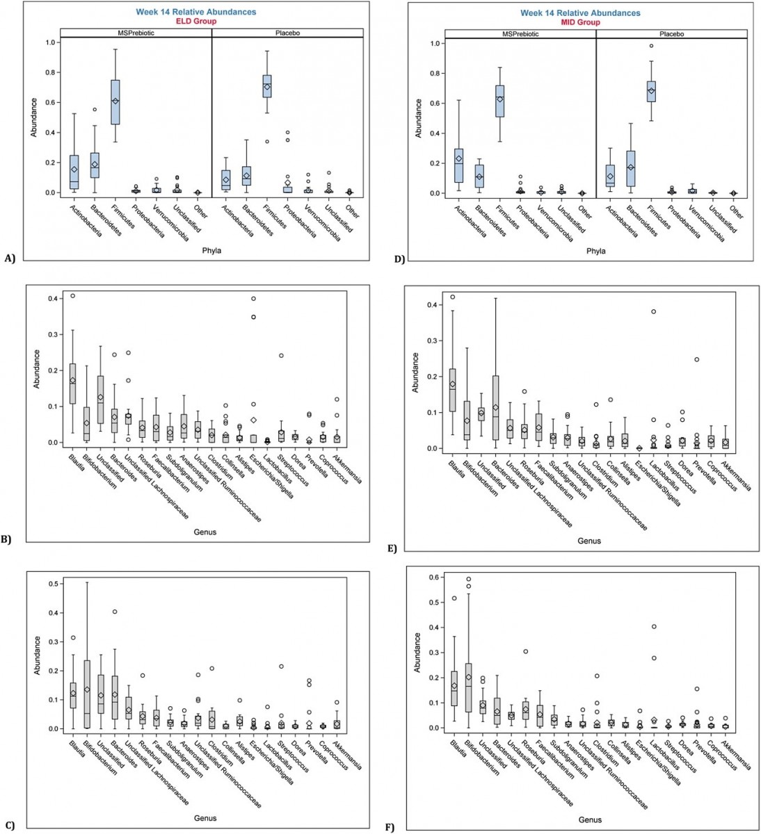
Nghiên cứu lâm sàng: Có rất nhiều nhiên cứu lâm sàng khẳng định về mối liên hệ giữa tinh bột kháng và hệ sinh sinh đường ruột [2], dưới đây là một nghiên cứu về việc bổ sung RS cho người trung niên và người già so với nhóm giả dược lên hệ lợi khuẩn đường ruột.
Mẫu nghiên cứu gồm 42 người già (ELD) và 42 người trung niên (MID) được phân ngẫu nhiên vào nhóm dùng giả dược hoặc MSPrebiotic® (một chế phẩm tinh bột kháng tự nhiên có nguồn gốc từ khoai tây). Thời gian quan sát là 6, 10 và 14 tuần sau khi phân ngẫu nhiên vào nhóm dùng giả dược hoặc MSPrebiotic® .
Kết quả: Có sự gia tăng đáng kể số lượng Bifidobacterium (thuộc ngành Actinobacteria) trong cả ELD và MID so với giả dược. Có một sự gia tăng nhỏ nhưng đáng kể về nồng độ butyrate SCFA trong phân ở ELD khi dùng MSPrebiotic® so với giả dược [3] => MSPrebiotic ® đáp ứng các tiêu chí của một prebiotic và có thể kích thích sự gia tăng số lượng Bifidobacteria nội sinh trong cả người già và trung niên mà không cần bổ sung thêm probiotic.

Số lượng Bifidobacterium (thuộc ngành Actinobacteria) đều tăng đáng kể về mặt thống kê sau 12 tuần sử dụng MSPrebiotic® so với nhóm ELD và MID sử dụng giả dược [3]
Tóm lại, cơ chế lên men RS trong đại tràng làm nổi bật mối quan hệ cộng sinh giữa chất xơ trong chế độ ăn uống và hệ vi sinh vật đường ruột. Trong khi RS cung cấp chất nền cho quá trình lên men vi sinh, thì ngược lại, các vi khuẩn đường ruột sản xuất các chất chuyển hóa có lợi cho sức khỏe của vật chủ.
Tài liệu tham khảo:
1. Zhao Chen, et al. (2024), Food Chem X; 21:101118 https://pmc.ncbi.nlm.nih.gov/articles/PMC10819196/
2. Jiaxin Xu, et al. (2025), Food Science and Human Wellness Volume 14 Issue 3 https://www.sciopen.com/article/10.26599/FSHW.2024.9250055
3. Michelle J. Alfa, et al. (2018), Randomized Control Trials; Volume 37, Issue 3, p797-807 https://www.clinicalnutritionjournal.com/article/S0261-5614(17)30116-4/fulltext
Viết bình luận